v1.36.0 Benchmark

time-to-k8s

minikube version: v1.36.0 kind v0.29.0 go1.24.2 linux/amd64 k3d version v5.8.3
Command Exec 21.056 14.240 12.593
API Server Answering 0.055 0.056 0.067
Kubernetes SVC 0.048 0.051 0.052
DNS SVC 0.048 0.049 0.049
App Running 6.393 17.979 3.039
DNS Answering 23.211 0.601 4.137
Total 50.812 32.977 19.937

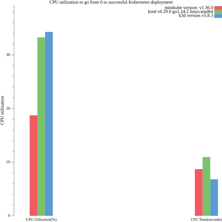
cpu-to-k8s

minikube version: v1.36.0 kind v0.29.0 go1.24.2 linux/amd64 k3d version v5.8.3
CPU Utilization(%) 18.742 33.290 34.301
CPU Time(seconds) 8.712 10.952 6.813