v1.34.0 Benchmark

| minikube version: v1.34.0 | kind v0.24.0 go1.22.6 linux/amd64 | k3d version v5.7.3 | |
|---|---|---|---|
| Command Exec | 21.799 | 14.383 | 13.216 |
| API Server Answering | 0.054 | 0.056 | 0.052 |
| Kubernetes SVC | 0.046 | 0.047 | 0.046 |
| DNS SVC | 0.046 | 0.048 | 0.045 |
| App Running | 6.017 | 17.968 | 9.135 |
| DNS Answering | 26.761 | 3.109 | 5.146 |
| Total | 54.724 | 35.610 | 27.639 |

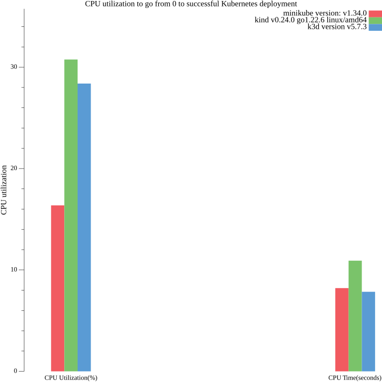
| minikube version: v1.34.0 | kind v0.24.0 go1.22.6 linux/amd64 | k3d version v5.7.3 | |
|---|---|---|---|
| CPU Utilization(%) | 16.371 | 30.759 | 28.387 |
| CPU Time(seconds) | 8.211 | 10.916 | 7.847 |
Feedback
Was this page helpful?
Glad to hear it! Please tell us how we can improve.
Sorry to hear that. Please tell us how we can improve.